Անցնել բովանդակությանը

Արտավազդ Մկրտչյան 10 դասարան

9-6 դասարան

  • Բնագիտություն
  • Մաթեմատիկա
  • Մայրենի
  • English
  • Ընթերցարան
  • Ճամփորդություն
  • ՈՒսումնական աշուն
  • Ռուսերեն
  • Մարմնակրթություն
  • Տեխնոլոգիա
  • Հայրենագիտություն

Day: 12.11.2025

Հանրահաշիվ10

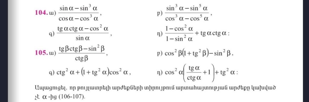
103

104.ա)sina(1-sin2)

cosa(1-cos2a)

cosa_sina

artavazdmkrtchyan Հանրահաշիվ 10, Uncategorized Թողնել մեկնաբանություն 12 Նոյեմբերի, 2025 1 Minute

Պահոցներ

  • Մայիս 2026
  • Ապրիլ 2026
  • Մարտ 2026
  • Փետրվար 2026
  • Հունվար 2026
  • Դեկտեմբեր 2025
  • Նոյեմբեր 2025
  • Հոկտեմբեր 2025
  • Սեպտեմբեր 2025
  • Մայիս 2025
  • Ապրիլ 2025
  • Մարտ 2025
  • Փետրվար 2025
  • Հունվար 2025
  • Դեկտեմբեր 2024
  • Նոյեմբեր 2024
  • Հոկտեմբեր 2024
  • Սեպտեմբեր 2024
  • Մայիս 2024
  • Ապրիլ 2024
  • Մարտ 2024
  • Փետրվար 2024
  • Հունվար 2024
  • Դեկտեմբեր 2023
  • Նոյեմբեր 2023
  • Հոկտեմբեր 2023
  • Սեպտեմբեր 2023
  • Մայիս 2023
  • Ապրիլ 2023
  • Մարտ 2023
  • Փետրվար 2023
  • Հունվար 2023
  • Դեկտեմբեր 2022
  • Նոյեմբեր 2022
  • Հոկտեմբեր 2022
  • Սեպտեմբեր 2022
  • Մայիս 2022
  • Ապրիլ 2022
  • Մարտ 2022
  • Փետրվար 2022
  • Հունվար 2022
  • Նոյեմբեր 2021
  • Հոկտեմբեր 2021
  • Սեպտեմբեր 2021
  • Մայիս 2021
  • Ապրիլ 2021
  • Մարտ 2021
  • Փետրվար 2021
  • Հունվար 2021
  • Դեկտեմբեր 2020
  • Նոյեմբեր 2020
  • Հոկտեմբեր 2020
  • Սեպտեմբեր 2020
  • Մայիս 2020
  • Ապրիլ 2020
  • Մարտ 2020
  • Փետրվար 2020
  • Հունվար 2020
  • Դեկտեմբեր 2019
  • Նոյեմբեր 2019
  • Հոկտեմբեր 2019
  • Սեպտեմբեր 2019
  • Հունիս 2019
  • Մայիս 2019
  • Ապրիլ 2019
  • Մարտ 2019
  • Փետրվար 2019
  • Դեկտեմբեր 2018
  • Նոյեմբեր 2018

Կարգեր

  • English
  • English 10
  • ENGLISH 9
  • English occupation
  • Հայոց լեզու 10
  • Հայրենագիտություն
  • Հանրահաշիվ 10
  • Հանրահաշիվ 9
  • Հանրահաշիվ7
  • Հասարակագիտություն 10
  • Հետազոտական 10 դասարան
  • Ճամփորդություն
  • Մաթեմատիկա
  • Մայրենի
  • Մայրենի 9
  • Մարմնակրթություն
  • ՄարյԵնի7
  • ՈՒսումնական աշուն
  • Պատմություն 10
  • Պատմություն 8
  • Պատմություն 9
  • Պատմություն7
  • Ռուսերեն
  • Ռուսերեն 9
  • Տեխնոլոգիա
  • ՔԱՆԴԱԿԱԳՈՐԾՈՒԹՅՈՒՆ
  • Ֆիզիկակա9
  • գրականություն8
  • իրավունքներ9
  • Անգլերեն 9
  • Անհատական նախագիծ
  • Աշխարագրություն7
  • Աշխարհագրություն 9
  • Բնագիտություն
  • Բնագիտություն 9 տեխնոլոգյա
  • Գրականություն 10
  • Գրականություն 9
  • Գրականություն10 Նախագծեր
  • Երկրաչափություն 9
  • Երկրաչափություն7
  • նախագիծ 9
  • նախագիծ 9
  • Էկոլոգիա 10
  • Ընթերցարան
  • Թումանյանական օրեր
  • Կենսաբանություն 9
  • Կենսաբանություն8
  • ԿԵնսաբանություն
  • Uncategorized
  • քիմիա 9
  • քիմյա7
  • ֆիզիկա

Վերջին գրառումները

  • My neighborhood
  • Երկրաչափություն 10 ինքնաստուգում
  • Հանրահաշիվ 10
  • Արամազդի մասին
  • Երկրաչափություն 10
Նոյեմբեր 2025
Ե Ե Չ Հ Ու Շ Կ
 12
3456789
10111213141516
17181920212223
24252627282930
« Հկտ   Դկտ »
Create a free website or blog at WordPress.com.
Privacy & Cookies: This site uses cookies. By continuing to use this website, you agree to their use.
To find out more, including how to control cookies, see here: Cookie Policy
  • Բաժանորդագրվել Subscribed
    • Արտավազդ Մկրտչյան 10 դասարան
    • Already have a WordPress.com account? Log in now.
    • Արտավազդ Մկրտչյան 10 դասարան
    • Բաժանորդագրվել Subscribed
    • Գրանցվել
    • Մուտք
    • Report this content
    • View site in Reader
    • Manage subscriptions
    • Collapse this bar

Loading Comments...

    Design a site like this with WordPress.com
    Get started